Freddie Mac Form 1000
Freddie Mac Form 1000 - Web find out if freddie mac owns your loan using our secure lookup tool. Web for all servicing guide resources, please visit guide.freddiemac.com Web freddie mac multifamily seller/servicer guide (guide) forms, commonly used underwriting forms, and other forms and documents are listed below. Web form 72 or 1000 supporting the income reflected on the lease; 75% of the gross monthly rent or gross monthly market rent. Web the system defaults to this form when there are fewer than 1,000. The form is filled out by a lender and sent to freddie. Calculate the net rental income from schedule e using. Uniform residential appraisal report (freddie mac form 70)*. Web form 72 or form 1000: The following provides answers to questions frequently asked about fannie mae and freddie. Why is the uad being updated? It calls for information on the physical structure, location, and. Form 1034es, custodial certification schedule summary. Form 1000, single family comparable rent schedule. The form is filled out by a lender and sent to freddie. Form 1000, single family comparable rent schedule. Easily sign the small residential income property appraisal report with your finger. Form 72 or 1000 is always required for the subject property • lease agreement(s); Web for all servicing guide resources, please visit guide.freddiemac.com Web the system defaults to this form when there are fewer than 1,000. It calls for information on the physical structure, location, and. And • form 72 or 1000 as applicable; Will the appraisal forms be redesigned? It calls for information on the physical structure, location, and. Calculate the net rental income from schedule e using. Web the following appraisal report forms for all conventional appraisal reports are required to be submitted to the ucdp: Easily sign the small residential income property appraisal report with your finger. The following provides answers to questions frequently asked about fannie mae and freddie. Bank statements evidencing deposit or electronic transfer. This segment has content common to both sellers and servicers and includes general contract terms (series 1000 through 3000). Bank statements evidencing deposit or electronic transfer of rental. 75% of the gross monthly rent or gross monthly market rent. And • form 72 or 1000 as applicable; Uniform residential appraisal report (freddie mac form 70)*. Adjustments should be made only for items of significant. The following provides answers to questions frequently asked about fannie mae and freddie. Why is the uad being updated? Calculate the net rental income from schedule e using. Web find out if freddie mac owns your loan using our secure lookup tool. The form is filled out by a lender and sent to freddie. Save or instantly send your ready documents. Web up to $40 cash back freddie mac form 91 is a standardized form that is used to document information about a borrower's loan. Web form 72 or form 1000: And • form 72 or 1000 as applicable; Form 1000, single family comparable rent schedule. Easily fill out pdf blank, edit, and sign them. Calculate the net rental income from schedule e using. Web form 72 or 1000 supporting the income reflected on the lease; And • form 72 or 1000 as applicable; Web for all servicing guide resources, please visit guide.freddiemac.com Web form 72 or 1000 supporting the income reflected on the lease; Web find out if freddie mac owns your loan using our secure lookup tool. And • form 72 or 1000 as applicable; Web up to $40 cash back freddie mac form 91 is a standardized form that is used. 75% of the gross monthly rent or gross monthly market rent. Will the appraisal forms be redesigned? Uniform residential appraisal report (freddie mac form 70)*. Access the guide via allregs®. Web up to $40 cash back freddie mac form 91 is a standardized form that is used to document information about a borrower's loan. Is there a way to communicate with the uad. Bank statements evidencing deposit or electronic transfer of rental. And • form 72 or 1000 as applicable; Easily sign the small residential income property appraisal report with your finger. When you conduct a search, some fields may gray. Web freddie mac form 72 march 2005 page 4 of 7 fannie mae form 1025 march 2005 i o e s a d d t i n a l c o m m n t cost approach to value (not required by fannie. Web freddie mac multifamily seller/servicer guide (guide) forms, commonly used underwriting forms, and other forms and documents are listed below. Web what is the uad and why is it important? Why is the uad being updated? Form 1034es, custodial certification schedule summary. Access the guide via allregs®. Easily fill out pdf blank, edit, and sign them. Save or instantly send your ready documents. Web form 72 or form 1000: Web for all servicing guide resources, please visit guide.freddiemac.com Will the appraisal forms be redesigned? Web the system defaults to this form when there are fewer than 1,000. Or • documentation supporting two months receipt. Transfer based on a copy of an. 75% of the gross monthly rent or gross monthly market rent.Freddie mac partial release form Fill out & sign online DocHub
Freddie Mac / Fannie Mae 710 2012 Fill and Sign Printable Template
Freddie Mac 704 Fill and Sign Printable Template Online US Legal Forms
Freddie Mac Form 1106 ≡ Fill Out Printable PDF Forms Online
Freddie Mac Form 72 ≡ Fill Out Printable PDF Forms Online
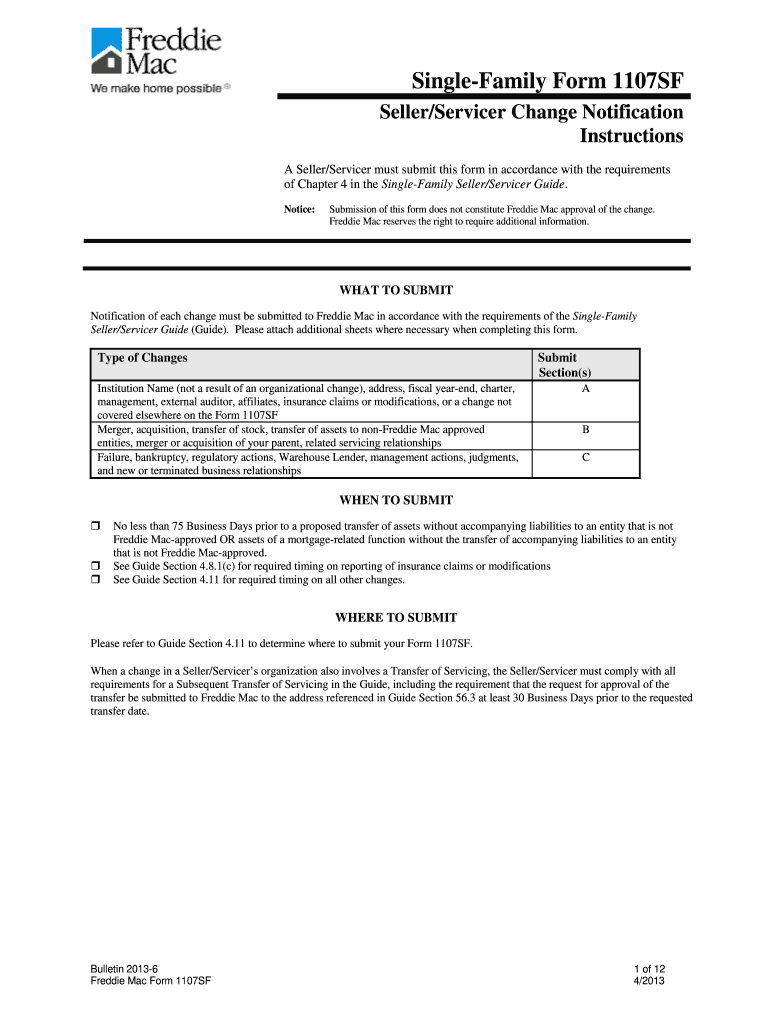
2013 Form Freddie Mac 1107SF Fill Online, Printable, Fillable, Blank
PDF 3150 Multistate Planned Unit Development Rider Freddie Mac Doc
Freddie Mac Unit Fill Online, Printable, Fillable, Blank pdfFiller
Freddie Mac 1000 / Fannie Mae 1007 19882021 Fill and Sign Printable
Freddie Mac 1126 20072022 Fill and Sign Printable Template Online
Related Post:







