Cpni Full Form
Cpni Full Form - Means (a) information that relates to the quantity, technical configuration, type, destination, location and. Web meaning of customer proprietary network information. It includes the time, date, duration and destination number of each call, the type of network a consumer subscribes to, and certain other information that appears on the consumer's telephone bill. Customer proprietary network information (cpni) document type: Pursuant to the rules, to file a cpni certification statement, companies will need to attach the. Web customer proprietary network information, or “cpni”, is information that tec obtains when we provide telecommunications services to you. Customer proprietary network information (cpni) is the data collected by telecommunications companies about a consumer's telephone calls. Customer proprietary network information (cpni) is the data collected by telecommunications companies about a. Customer proprietary network information (cpni) document type: Both the communications act and the commission's rules require telecommunications carriers, and interconnected providers of voice over internet. Customer proprietary network information (cpni) document type: Pursuant to the rules, to file a cpni certification statement, companies will need to attach the. Web filing of annual customer proprietary network information (cpni) certifications for calendar year 2020. Cpni stands for customer proprietary network information. Web cpni stands for customer proprietary network information. Submit your free assessment form to find out what your options may be for canada immigration. Web cpni stands for customer proprietary network information, a term used to describe sensitive customer data held by telecommunications providers. Cpni is the private information that telecommunications service providers acquire about their subscribers and includes. Customer proprietary network information (cpni) document type: Customer proprietary. Cpni stands for customer proprietary network information. It is a term established by the federal communications commission (fcc), which governs how. Companies should read the full text of the relevant cpni rules at. Submit your free assessment form to find out what your options may be for canada immigration. Customer proprietary network information (cpni) is the data collected by telecommunications. Web the term “customer proprietary network information (cpni)” has the same meaning given to such term in section 222(h)(1) of the communications act of 1934, as amended, 47. Web filing of annual customer proprietary network information (cpni) certifications for calendar year 2020. Submit your free assessment form to find out what your options may be for canada immigration. Web this. Web define customer proprietary network information (cpni). Web cpni stands for customer proprietary network information. Companies should read the full text of the relevant cpni rules at. It includes what services they use, as. Both the communications act and the commission's rules require telecommunications carriers, and interconnected providers of voice over internet. Means (a) information that relates to the quantity, technical configuration, type, destination, location and. Web cpni stands for customer proprietary network information. Web what does cpni stand for? Cpni is the private information that telecommunications service providers acquire about their subscribers and includes. It is a term established by the federal communications commission (fcc), which governs how. Web the term “customer proprietary network information (cpni)” has the same meaning given to such term in section 222(h)(1) of the communications act of 1934, as amended, 47. Web this certification template allows companies to file their cpni certifications online. It includes what services they use, as. Web customer proprietary network information (cpni) full title: Cpni stands for customer proprietary. Pursuant to the rules, to file a cpni certification statement, companies will need to attach the. Submit your free assessment form to find out what your options may be for canada immigration. Web this certification template allows companies to file their cpni certifications online. It includes the time, date, duration and destination number of each call, the type of network. Cpni is the private information that telecommunications service providers acquire about their subscribers and includes. Web customer proprietary network information (cpni) full title: Web cpni stands for customer proprietary network information. Web cpni stands for customer proprietary network information, a term used to describe sensitive customer data held by telecommunications providers. Customer proprietary network information (cpni) is the data collected. Companies should read the full text of the relevant cpni rules at. Web customer proprietary network information, or “cpni”, is information that tec obtains when we provide telecommunications services to you. Customer proprietary network information (cpni) document type: Submit your free assessment form to find out what your options may be for canada immigration. Pursuant to the rules, to file. It is a term established by the federal communications commission (fcc), which governs how. Web filing of annual customer proprietary network information (cpni) certifications for calendar year 2020. Web customer proprietary network information (cpni) full title: Web this certification template allows companies to file their cpni certifications online. It includes the time, date, duration and destination number of each call, the type of network a consumer subscribes to, and certain other information that appears on the consumer's telephone bill. Web customer proprietary network information (cpni) full title: Companies should read the full text of the relevant cpni rules at. Customer proprietary network information (cpni) is the data collected by telecommunications companies about a. Cpni stands for customer proprietary network information. Pursuant to the rules, to file a cpni certification statement, companies will need to attach the. Web meaning of customer proprietary network information. Submit your free assessment form to find out what your options may be for canada immigration. Both the communications act and the commission's rules require telecommunications carriers, and interconnected providers of voice over internet. Customer proprietary network information (cpni) document type: Web define customer proprietary network information (cpni). Web cpni stands for customer proprietary network information, a term used to describe sensitive customer data held by telecommunications providers. Customer proprietary network information (cpni) document type: Web what does cpni stand for? Web cpni stands for customer proprietary network information. Means (a) information that relates to the quantity, technical configuration, type, destination, location and.G2 Solutions CPNI form v1.pdf Fax Email
Customer Proprietary Network Information (CPNI) Restriction Request
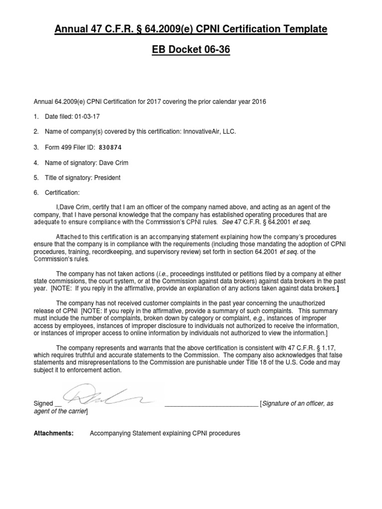
CPNI Certification & Compliance Statement 2017.doc Federal
CPNI Filling Documents 2014 Rules and Compliances Privacy Policy
Annual CPNI Certification Statement 2013 Access Control Online
CPNI Compliance form Telephone Federal Communications Commission
CPNI Password Federal Communications Commission
2017 CPNI Certification and Statement of Compliance.pdf Regulatory
Fiber SenSys’ Perimeter Sensor receives UK CPNI government approval
Customer proprietary network information (CPNI) CallTower
Related Post:


