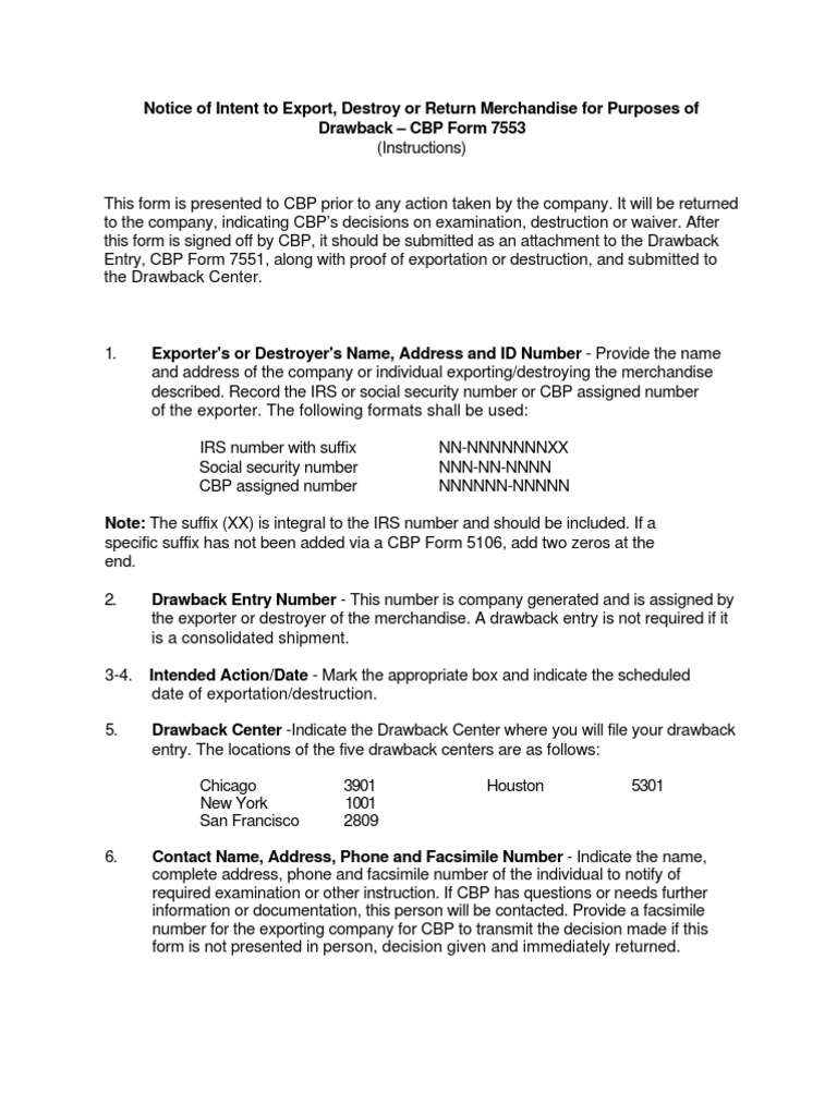
Cbp Form 7553
Cbp Form 7553 - It will be returned to the company, indicating cbp’s. If this message is not eventually replaced by the proper contents of the document, your pdf viewer may not be able to display this type of. Web (the cbp form 7553 must be submitted to cbp 2 working days prior to exportation, or 7 working days prior to destruction.) same condition drawback under. Dec 09, 2022 securing america's borders Web cbp form 7553, notice of intent to export, destroy or return merchandise for purposes of drawback (noi), documents both the exportation and destruction of. Web complete cbp form 7553 online with us legal forms. Web cbp form 7553 please wait. Web cbp form 7553 must be filled out and sent to u.s. Customs prior to the shipment being exported or destroyed. Web cbp form 7553 (07/08) omb no. Ad download or email cbp 7523 & more fillable forms, register and subscribe now! Printing and scanning is no longer the best way to manage documents. It will be returned to the company, indicating cbp’s. Web up to $3 cash back u.s. Web (the cbp form 7553 must be submitted to cbp 2 working days prior to exportation, or 7. Web up to $3 cash back (the cbp form 7553 must be submitted to cbp 2 working days prior to exportation, or 7 working days prior to destruction.) substitution unused merchandise. Web cbp form 7553 must be filled out and sent to u.s. Web cbp form 7553, notice of intent to export, destroy or return merchandise for purposes of drawback. Web up to $3 cash back (the cbp form 7553 must be submitted to cbp 2 working days prior to exportation, or 7 working days prior to destruction.) substitution unused merchandise. Web if cbp has not attended the destruction, the claimant must provide the evidence that destruction took place in accordance with the approved cbp form 7553, as provided for.. Web the data collected on cbp form 5129 is used for compliance with currency reporting requirements, supplemental immigration documentation, agricultural quarantine. Easily fill out pdf blank, edit, and sign them. Web cbp form 7553 (07/08) omb no. Printing and scanning is no longer the best way to manage documents. Web cbp form 7553 please wait. Web article that was imported into the u.s. Customs prior to the shipment being exported or destroyed. The newly revised cbp form 7553 is now available on cbp.gov. Web up to $3 cash back u.s. Filing a cbp form 7553, prior notice of intent to export. Web if cbp has not attended the destruction, the claimant must provide the evidence that destruction took place in accordance with the approved cbp form 7553, as provided for. The cbp form 7553 must be submitted to cbp 5 working days prior to exportation, or 7 working days prior to destruction. Ad download or email cbp 7523 & more fillable. Save or instantly send your ready documents. Web cbp form 7553 must be filled out and sent to u.s. Web the data collected on cbp form 5129 is used for compliance with currency reporting requirements, supplemental immigration documentation, agricultural quarantine. Web handy tips for filling out form 7553 online. Form cbp form 7553 cbp form 7553 notice of intent to. Web cbp form 7553 please wait. Web up to $3 cash back (the cbp form 7553 must be submitted to cbp 2 working days prior to exportation, or 7 working days prior to destruction.) substitution unused merchandise. Save or instantly send your ready documents. Printing and scanning is no longer the best way to manage documents. Web cbp form 7553,. Dec 09, 2022 securing america's borders Web if cbp has not attended the destruction, the claimant must provide the evidence that destruction took place in accordance with the approved cbp form 7553, as provided for. Printing and scanning is no longer the best way to manage documents. Web cbp form 7553, notice of intent to export, destroy or return merchandise. Dec 09, 2022 securing america's borders Web cbp form 7553 must be filled out and sent to u.s. Web article that was imported into the u.s. Web cbp form 7553, notice of intent to export, destroy or return merchandise for purposes of drawback (noi), documents both the exportation and destruction of. Save or instantly send your ready documents. Form cbp form 7553 cbp form 7553 notice of intent to export, destroy or return merchandis. Web the data collected on cbp form 5129 is used for compliance with currency reporting requirements, supplemental immigration documentation, agricultural quarantine. ( ) document [pdf] download: Easily fill out pdf blank, edit, and sign them. Why is it important to fill out the cbp form 7553. Go digital and save time with signnow, the best solution for. It will be returned to the company, indicating cbp’s. Web cbp form 7553 (07/08) omb no. Web cbp form 7553 please wait. Ad download or email cbp 7523 & more fillable forms, register and subscribe now! Web up to $3 cash back (the cbp form 7553 must be submitted to cbp 2 working days prior to exportation, or 7 working days prior to destruction.) substitution unused merchandise. Save or instantly send your ready documents. The cbp form 7553 must be submitted to cbp 5 working days prior to exportation, or 7 working days prior to destruction. Web cbp form 7553, notice of intent to export, destroy or return merchandise for purposes of drawback (noi), documents both the exportation and destruction of. Web if cbp has not attended the destruction, the claimant must provide the evidence that destruction took place in accordance with the approved cbp form 7553, as provided for. Web (the cbp form 7553 must be submitted to cbp 2 working days prior to exportation, or 7 working days prior to destruction.) same condition drawback under. The newly revised cbp form 7553 is now available on cbp.gov. Web cbp form 7553 must be filled out and sent to u.s. If this message is not eventually replaced by the proper contents of the document, your pdf viewer may not be able to display this type of. Filing a cbp form 7553, prior notice of intent to export.CBP Form 7553 Notice of Intent to Export, Destroy etc. for Purposes
CBP Form 7553 Download Fillable PDF or Fill Online Notice of Intent to
CBP Form 7553 Download Fillable PDF or Fill Online Notice of Intent to
CBP Form 7523 Download Fillable PDF or Fill Online Entry and Manifest
U.S. Customs Form CBP Form 7553 Notice of Intent to Export, Destroy
CBP form 7501 The document for customs clearance
Cbp 7551 Fill Out and Sign Printable PDF Template signNow
CBP Form 7553 Notice of Intent to Export, Destroy etc. for Purposes
Cbp Form 7553 Fill and Sign Printable Template Online US Legal Forms
U.S. Customs Form CBP Form 3461 Entry/Immediate Delivery U.S
Related Post:






